DeepCopy
DeepCopy helps you create deep copies (clones) of your objects. It is designed to handle cycles in the association graph.
Table of Contents
How?
Install with Composer:
composer require myclabs/deep-copy
Use simply:
use DeepCopy\DeepCopy;
$deepCopy = new DeepCopy();
$myCopy = $deepCopy->copy($myObject);
Why?
- How do you create copies of your objects?
$myCopy = clone $myObject;
- How do you create deep copies of your objects (i.e. copying also all the objects referenced in the properties)?
You use __clone() and implement the behavior yourself.
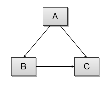
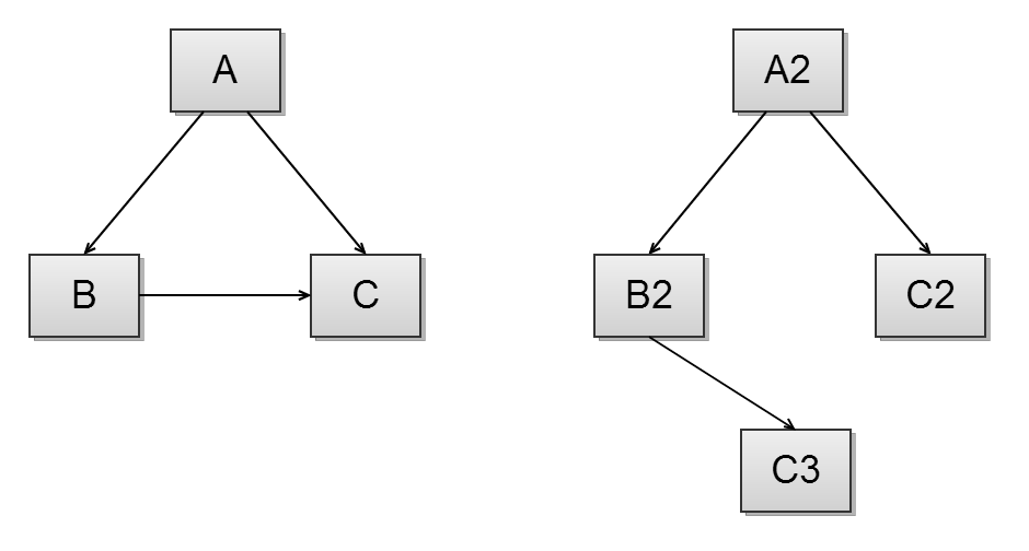
- But how do you handle cycles in the association graph?
Now you're in for a big mess :(
Using simply clone
Overridding __clone()
With DeepCopy
How it works
DeepCopy recursively traverses all the object's properties and clones them. To avoid cloning the same object twice it keeps a hash map of all instances and thus preserves the object graph.
Going further
You can add filters to customize the copy process.
The method to add a filter is $deepCopy->addFilter($filter, $matcher),
with $filter implementing DeepCopy\Filter\Filter
and $matcher implementing DeepCopy\Matcher\Matcher.
We provide some generic filters and matchers.
Matchers
DeepCopy\Matcherapplies on a object attribute.DeepCopy\TypeMatcherapplies on any element found in graph, including array elements.
Property name
The PropertyNameMatcher will match a property by its name:
use DeepCopy\Matcher\PropertyNameMatcher;
$matcher = new PropertyNameMatcher('id');
// will apply a filter to any property of any objects named "id"
Specific property
The PropertyMatcher will match a specific property of a specific class:
use DeepCopy\Matcher\PropertyMatcher;
$matcher = new PropertyMatcher('MyClass', 'id');
// will apply a filter to the property "id" of any objects of the class "MyClass"
Type
The TypeMatcher will match any element by its type (instance of a class or any value that could be parameter of gettype() function):
use DeepCopy\TypeMatcher\TypeMatcher;
$matcher = new TypeMatcher('Doctrine\Common\Collections\Collection');
// will apply a filter to any object that is an instance of Doctrine\Common\Collections\Collection
Filters
DeepCopy\Filterapplies a transformation to the object attribute matched byDeepCopy\Matcher.DeepCopy\TypeFilterapplies a transformation to any element matched byDeepCopy\TypeMatcher.
SetNullFilter
Let's say for example that you are copying a database record (or a Doctrine entity), so you want the copy not to have any ID:
use DeepCopy\DeepCopy;
use DeepCopy\Filter\SetNullFilter;
use DeepCopy\Matcher\PropertyNameMatcher;
$myObject = MyClass::load(123);
echo $myObject->id; // 123
$deepCopy = new DeepCopy();
$deepCopy->addFilter(new SetNullFilter(), new PropertyNameMatcher('id'));
$myCopy = $deepCopy->copy($myObject);
echo $myCopy->id; // null
KeepFilter
If you want a property to remain untouched (for example, an association to an object):
use DeepCopy\DeepCopy;
use DeepCopy\Filter\KeepFilter;
use DeepCopy\Matcher\PropertyMatcher;
$deepCopy = new DeepCopy();
$deepCopy->addFilter(new KeepFilter(), new PropertyMatcher('MyClass', 'category'));
$myCopy = $deepCopy->copy($myObject);
// $myCopy->category has not been touched
ReplaceFilter
- If you want to replace the value of a property:
use DeepCopy\DeepCopy;
use DeepCopy\Filter\ReplaceFilter;
use DeepCopy\Matcher\PropertyMatcher;
$deepCopy = new DeepCopy();
$callback = function ($currentValue) {
return $currentValue . ' (copy)'
};
$deepCopy->addFilter(new ReplaceFilter($callback), new PropertyMatcher('MyClass', 'title'));
$myCopy = $deepCopy->copy($myObject);
// $myCopy->title will contain the data returned by the callback, e.g. 'The title (copy)'
- If you want to replace whole element:
use DeepCopy\DeepCopy;
use DeepCopy\TypeFilter\ReplaceFilter;
use DeepCopy\TypeMatcher\TypeMatcher;
$deepCopy = new DeepCopy();
$callback = function (MyClass $myClass) {
return get_class($myClass);
};
$deepCopy->addTypeFilter(new ReplaceFilter($callback), new TypeMatcher('MyClass'));
$myCopy = $deepCopy->copy(array(new MyClass, 'some string', new MyClass));
// $myCopy will contain ['MyClass', 'some stirng', 'MyClass']
The $callback parameter of the ReplaceFilter constructor accepts any PHP callable.
ShallowCopyFilter
Stop DeepCopy from recursively copying element, using standard clone instead:
use DeepCopy\DeepCopy;
use DeepCopy\TypeFilter\ShallowCopyFilter;
use DeepCopy\TypeMatcher\TypeMatcher;
use Mockery as m;
$this->deepCopy = new DeepCopy();
$this->deepCopy->addTypeFilter(
new ShallowCopyFilter,
new TypeMatcher(m\MockInterface::class)
);
$myServiceWithMocks = new MyService(m::mock(MyDependency1::class), m::mock(MyDependency2::class));
// all mocks will be just cloned, not deep-copied
DoctrineCollectionFilter
If you use Doctrine and want to copy an entity, you will need to use the DoctrineCollectionFilter:
use DeepCopy\DeepCopy;
use DeepCopy\Filter\Doctrine\DoctrineCollectionFilter;
use DeepCopy\Matcher\PropertyTypeMatcher;
$deepCopy = new DeepCopy();
$deepCopy->addFilter(new DoctrineCollectionFilter(), new PropertyTypeMatcher('Doctrine\Common\Collections\Collection'));
$myCopy = $deepCopy->copy($myObject);
DoctrineEmptyCollectionFilter
If you use Doctrine and want to copy an entity who contains a Collection that you want to be reset, you can use the DoctrineEmptyCollectionFilter
use DeepCopy\DeepCopy;
use DeepCopy\Filter\Doctrine\DoctrineEmptyCollectionFilter;
use DeepCopy\Matcher\PropertyMatcher;
$deepCopy = new DeepCopy();
$deepCopy->addFilter(new DoctrineEmptyCollectionFilter(), new PropertyMatcher('MyClass', 'myProperty'));
$myCopy = $deepCopy->copy($myObject);
// $myCopy->myProperty will return an empty collection
Contributing
DeepCopy is distributed under the MIT license.
Tests
Running the tests is simple:
phpunit






